기댓값 : expectaion 평균이라고 생각할 수 있다.
확률에 의해 계산되는 평균이 기댓값
아래 예시는 질량함수일 경우



밑에 공식 외울 필요 없다 우리는 코드로 재현한다.
binom.pmf(0,2,0.5)

bin(n,p)
pmf안에 들어가는 인수
( 첫번째 x의 값, n값, p값)
x에 x값을 넣으면 된다 아래 예시 확인
만약 난 x가 0,1,2인값을 찾고 싶다면 첫번째 자리에 0이 들어간다.
확률질량함수(pmf)는 이산확률변수에 대한 확률분포를 설명하는 함수
주사위 1이 나올 확률질량함수는 1/6 인것

plot은 점을 나타내고
vlines 선을 나타낸다.

cumulative distribution function (cdf) 누적분포함수
X까지 발생할 확률을 모두 더하는것


위의 문제는 pmf로 풀 수도 있지만 cdf로 풀수도 있다.
그래서 문제를 쉽게 풀기 위해 cdf 개념 잘 숙지하자


rvs에서 size=1000 이라는 말은 만약 주사위 홀수가 나올 확률은 1/2이고 이것을 2번했을 때 하나의 케이스로 치자면 1000번 케이스가 있다는 말과 같다. 죽 2000번했다는 말과 같다





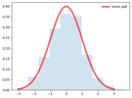
분산이 클수록 평평해진다. 위 그림
정규분포는 연속형확률변수다 이산형과 다름을 인지!!

보통 쓸 때 norm (x, 뮤, 시그마)를 쓰는데 생략이 되었다면 0,1로 기본값으로 여긴다
이산형은 등호가 중요하지만 연속형에서는 별 신경안써도된다.
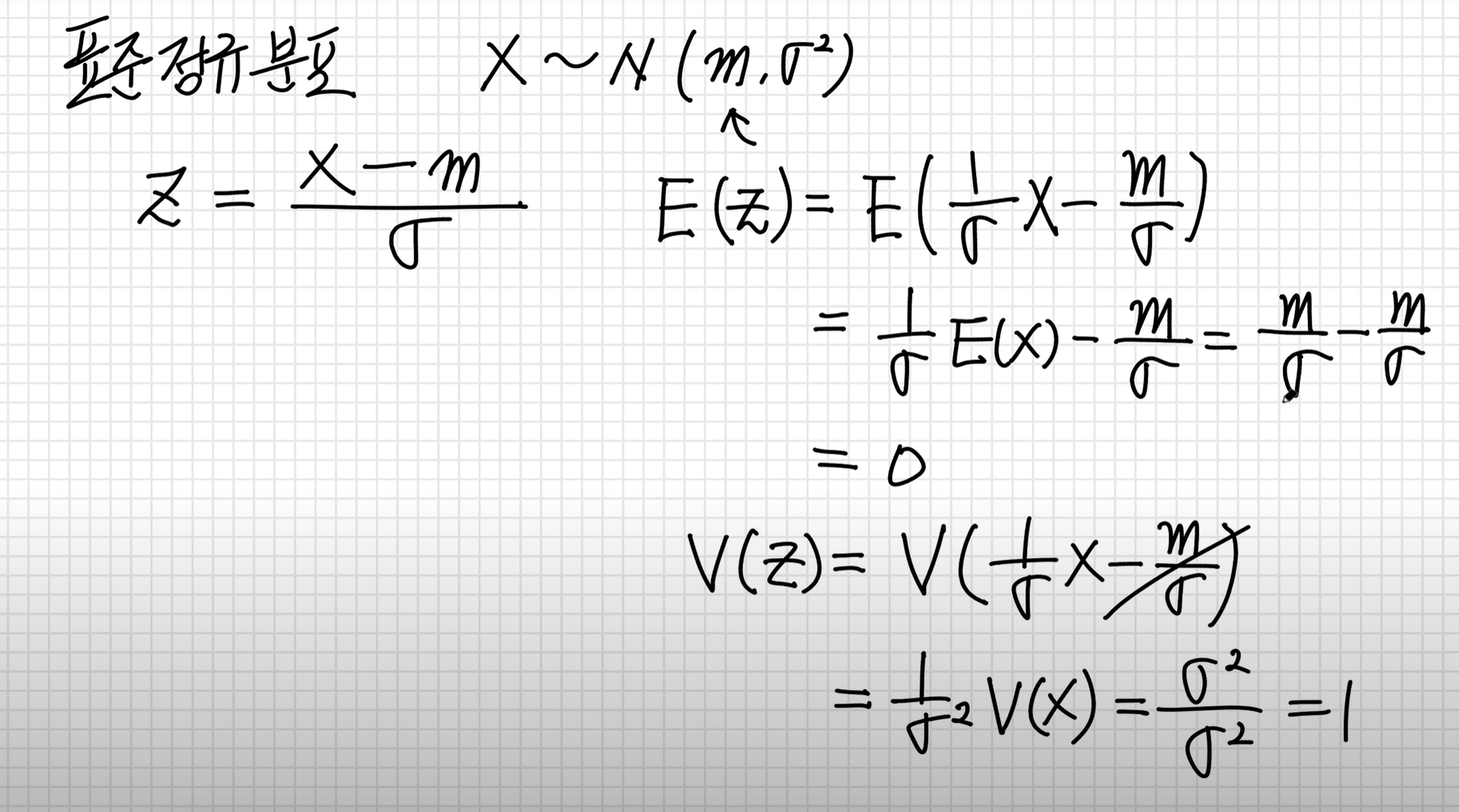
표준편차가 1 평균이 0 이를 표준 정규 분


위 둘은 역함수 관계
퍼센트를 알 때 ppf
수치를 알 때 cdf
만약 위의 문제를 변형해서 재고가 바닥날 확률이 20%면 너무 크다 그래서 위 계산으로 0.202 나온거 체크
그래서 5퍼센트로 줄이고 싶다 이럴 때는 결국 왼쪽 이 95%가 되야한다말임으로
기준이 작을 확률? 왼쪽 꼬리 기준임을 잘 기억하자
만약 가운데 99 %알고 싶다면 1%로 구하면 되지만 대칭임을 감안하면 0.5% 넣어 계산한다

불편추정량이라 말하지 말고 unbiased estimator
왜 표준편차라 하지 않고 표준 오차라 하냐? 통계량의 불확실성의 지표이기에 표준 오차라함
X에 평균을 빼고 표준편차로 나누게 되면 평균이 0 표준편차가 1 이되는 과정 영상 찾아보기




'2023_2 통계' 카테고리의 다른 글
| 검정통계량 tvalue (1) | 2023.10.12 |
|---|---|
| 정규화 하는 과정에서 어떨때는 표준오차로 나누고 어떨때는 표준편차로 나누는가? (0) | 2023.09.28 |
| 4_표준편차 표준오차 ^p (0) | 2023.09.24 |
| 분산을 구할 때 n으로 나눈는 문제 (0) | 2023.09.21 |
| 2_ (0) | 2023.09.10 |